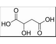
其他中文名稱 : DL-蘋果酸;DL-羥基琥珀酸;DL-羥基丁二酸;外消旋體蘋果酸
英文名稱 : DL-Malic acid
其他英文名稱 : DL-Hydroxybutanedioic acid
C A S : 6915-15-7或617-48-1
C4H6O5=134.09
級 別 : BR
含 量 : ≥99.0%
熔 點 : 128~131℃
灼燒殘渣 : ≤0.2%
氯化物 : ≤0.1%
硫酸鹽 : ≤0.02%
砷 : ≤0.0001%
鐵 : ≤0.005%
重金屬 : ≤0.002%
性 狀 : 無色結晶或白色粉末。150℃分解,20℃時溶解度(G/100G):甲醇中82.70;乙醚中0.84;乙醇中45.53;丙酮中17.75;二氧六環(huán)中22.70;水中55.8。幾乎不溶于苯,相對密度(d204)1.601。最小致死量(家兔,皮下)5000mG/kG。有刺激性
用 途 : 生化研究。堿量法標準,制造酯類和鹽類,食物調味。DL-蘋果酸是一種重要的有機酸,是低熱量的新型食品酸味劑,適宜制作低能量飲料,還可用作化學合成原料酯類和鹽類的制造、表面活性劑、熒光增白劑的制造及消毒劑、洗滌劑、酸洗劑等
保 存 : RT
購物車
幫助
021-54845833/15800441009
