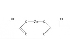
中文名稱: 乳酸鋅
其他中文名稱: 2-羥基丙酸鋅
英文名稱: Zinc lactate
其他英文名稱: Zinc dilactate
CAS:16039-53-5
C6H10O6Zn=243.55
級(jí)別:BR
總含量:≥98.0%
鋅含量:21.5~22.6%
干燥失重:≤18.5%
氯化物:≤0.05%
重金屬:≤10mg/kg
性狀:白色結(jié)晶粉末,無臭,易溶于水,微溶于乙醇
用途:生化研究。
保存:RT
購物車
幫助
021-54845833/15800441009
