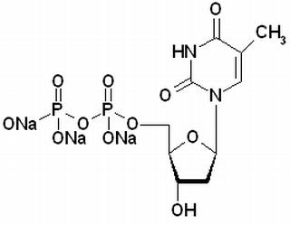
中文名稱 : 2′-脫氧胸苷-5′-二磷酸三鈉鹽
英文名稱 : dTDP
其他英文名稱 : 2′-Deoxythymidine-5′-diphosphate trisodium salt;1-(1-Thyminyl)-2-deoxy-β-D-ribofuranose-5-diphosphate trisodium salt
C A S : 95648-78-5
C10H13N2Na3O11P2=468.13
級(jí) 別 : High purity grade
含 量 : ≥98.0%(HPLC)
干燥失重 : ≤10.0%
重金屬 : ≤10ppm
性 狀 : 白色或類白色結(jié)晶粉末
用 途 : 生化研究
保 存 : -20℃
購(gòu)物車
幫助
021-54845833/15800441009
