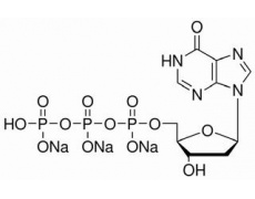
中文名稱 : 2′-脫氧肌苷-5′-三磷酸三鈉鹽
其他中文名稱 : 2'-脫氧次黃嘌呤核苷-5'-三磷酸三鈉鹽
英文名稱 : dITP,3Na
其他英文名稱 : 2′-Deoxyinosine-5′-triphosphate tiisodium salt
C A S : 95648-77-4
C10H12N4Na3O13P3=558.11
級 別 : High purity grade
含 量 : ≥98.0%(HPLC)
性 狀 : 白色粉末
用 途 : 生化研究
保 存 : -20℃
購物車
幫助
021-54845833/15800441009
